pg游戏电子模拟器姚裕贵教授团队在磁性拓扑半金属反常与自旋输运性质的研究中取得重要进展
来源: 供稿: 摄影: 审核:姜艳 作者: 发布时间:2022-08-24 浏览量:

近日,pg游戏电子模拟器姚裕贵、冯万祥教授团队在磁性拓扑半金属的研究中取得重要进展,发现了无序和拓扑增强的反常和自旋输运性质。研究成果发表于物理学顶级期刊Physical Review Letters。
反常电荷与自旋输运现象一直是凝聚态物理学中的热门研究议题,也是实现自旋电子学器件最具竞争力的方式之一。典型的反常电荷与自旋输运现象包括反常/自旋霍尔效应和反常/自旋能斯特效应,分别描述磁性材料中由纵向电场或温度梯度引起的横向电荷/自旋流的物理现象。最近的理论和实验研究表明,磁性拓扑材料中的外尔点或节线处会产生极大的贝里曲率,进而导致拓扑增强的反常和自旋输运行为。然而,有两个关键科学问题一直没有解决:其一,过去只关注贝里曲率导致的内禀机制,而由无序引起的外在机制对磁性拓扑材料中反常和自旋输运性质的贡献仍不清楚;其二,过去研究的磁性拓扑材料在费米能级附近总是存在一些拓扑平庸的能带,拓扑电子结构与反常和自旋输运性质实际上并没有一个非常清楚的联系。

图1:(a-c) 自旋零带隙节线半金属MF3 (M = Pd, Mn)的晶体结构、布里渊区与自旋极化能带结构;(d) 自旋零带隙节线半金属中由反常/自旋霍尔效应、反常/自旋能斯特效应引起的完全自旋极化的横向电荷/自旋流示意图。
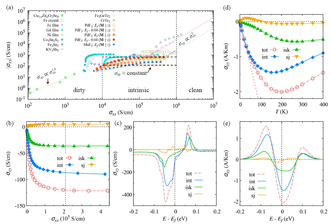
pg游戏电子模拟器姚裕贵团队长期致力于反常输运现象的研究,为解决以上两个问题,基于该团队2020年提出的一种新型磁性拓扑量子材料——自旋零带隙节线半金属【Phys. Rev. Lett. 124, 016402 (2020)】,他们详细地研究了这类材料的内禀与外在反常与自旋输运性质。这里以MF3 (M = Pd, Mn)为例,其电子结构在费米能级处展示出具有超干净的完全自旋极化的节线半金属态,可以实现超高的费米速度与100%自旋极化率,为探索拓扑电子结构对反常与自旋输运性质的贡献提供了一个绝佳的材料平台,可以排除所有平庸能带的干扰(如图1)。此外,研究团队定量计算了贝里曲率导致的内禀机制和无序引起的外在机制(包括斜散射与边跳机制)对反常与自旋输运性质的贡献。结果显示,内禀机制起主要贡献,边跳机制几乎可以忽略,但斜散射机制会进一步提高反常与自旋输运信号(如图2)。MF3 (M = Pd, Mn)的反常霍尔与反常能斯特电导分别可以达到650 S/Cm和2.8 A/Km,后者比传统铁磁材料(0~1 A/Km)几乎大了一个量级。该研究工作不仅清晰地建立了拓扑电子结构与反常输运之间的联系,也加深了对磁性拓扑材料中反常输运的内禀与外在机制的理解。据此,研究团队提出自旋零带隙节线半金属这类性能优异的磁性拓扑材料可以显著地提高能量转换效率,为实现低能耗、高集成度的新型拓扑自旋电子学器件提供了新的材料平台。

图2:(a-b) 自旋零带隙节线半金属MF3 (M = Pd, Mn)的反常霍尔电导率及其不同物理机制的贡献随着纵向电导率的变化关系;(c) 不同物理机制下的反常霍尔电导率随着费米能级的变化关系;(d-e) 不同物理机制下的反常能斯特电导率随着温度和能量的变化关系。
该工作的第一单位为pg游戏电子模拟器。pg游戏电子模拟器的冯万祥教授、姚裕贵教授和德国于利希研究中心的Yuriy Mokrousov副教授为论文的共同通讯作者,pg游戏电子模拟器博士生周小东为论文的第一作者,博士后张闰午、博士生杨修先、博士生李小平为论文的共同作者。该工作得到科技部重点研发计划、国家自然科学基金委、pg游戏电子模拟器科技创新计划人才项目、中德国际合作项目的支持。
Xiaodong Zhou, Run-Wu Zhang, Xiuxian Yang, Xiao-Ping Li, Wanxiang Feng*, Yuriy Mokrousov*, and Yugui Yao*, “Disorder- and Topology-Enhanced Fully Spin-Polarized Currents in Nodal Chain Spin-Gapless Semimetals”, Phys. Rev. Lett. 129, 097201 (2022). (*为通讯作者)
