pg游戏电子模拟器团队提出突破性全电控自旋新机制
来源: 供稿: 摄影: 审核:陈珂、郑宁 作者: 发布时间:2024-08-08 浏览量:

近日,pg游戏电子模拟器姚裕贵教授、余智明教授团队提出了一种颠覆性的新效应:自旋-层耦合(SLC),以实现自旋(而非自旋流)的栅极电场控制。该工作以“Predictable Gate-Field Control of Spin in Altermagnets with Spin-Layer Coupling”为题发表于物理学顶级期刊《Physical Review Letters》。
自巨磁阻效应发现以来,自旋电子学领域迅猛发展,对自旋的调控成为该领域重要研究方向。这其中最好的方法是通过栅极电场调控自旋。尽管众多方案竞相涌现,以期实现电场调控自旋的最终目标,但普遍存在两大棘手难题:(一) 高度依赖强自旋轨道耦合(SOC)作为先决条件,限制了材料选择的广泛性;(二) 诱导产生的自旋劈裂现象难以精准预测与控制,给实际应用带来不确定性的挑战。这些不足之处严重阻碍了全电控自旋技术向更深层次发展的步伐。
在本研究工作中,团队提出了一种颠覆性的效应,通过电学手段实现自旋极化的可预测控制,从而解决这一挑战性任务。他们的想法基于一种新颖的物理机制——以谷为媒介的自旋-层耦合 (SLC)——这一机制存在于一种新发现的磁性材料,即交错磁体 (altermagnets)(图1)。SLC指的是自旋与层自由度之间的耦合,通过它可使电场能够像磁场一样精准可控的操控自旋。值得注意的是,SLC在有无SOC的情况下都能有效运行,从而一举克服上述两大缺陷。

图1. 谷媒介SLC的机理及全电控自旋示意图。(a)具有两个能谷V1和V2的交错磁体材料天然被赋予自旋-谷锁定特性,其受到某一(磁性)晶体对称性(或晶体对称性与时间反演联合操作)而不是时间反演对称性的保护。(b)二维谷电子材料可能具有某一(磁性)晶体对称性(或晶体对称性与时间反演联合操作)保护的谷-层锁定,其中两个谷态具有相反的层极化。(c)二维交错磁体中谷媒介SLC可以形象的类比为自旋-谷和谷-层锁定的结合。(d)谷媒介SLC使全电控自旋成为可能。
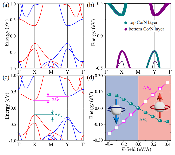
团队还通过系统性的对称性分析,提出了实现谷媒介SLC的对称性条件,并列出了所有具有谷媒介SLC的23个磁层群。此外团队还确定了9种高质量的材料候选者:单层Ca(CoN)2家族(图2)。基于这些具体材料,该工作展示了通过施加栅极场可以实现(近乎)均匀、连续和可切换的自旋极化控制。特别是,施加0.2 eV/Å的栅极场可以产生约100 meV的自旋劈裂,相当于一个高达1000 T的有效静态磁场(图3)。

图2. 九种高质量的候选材料:单层Ca(CoN)2家族。(a) 从体相中剥离候选单层的示意图;(b) 单层A(BN)2的晶体结构俯视图;(c) 单层Ca(CoN)2的空间自旋密度分布;(d) 单层Ca(CoN)2的声子谱。

图3.单层Ca(CoN)2的电子结构分析:(a) 能带结构;(b) 轨道投影能带结构;(c) Ez="0.2" eV/Å电场下单层Ca(CoN)2的能带结构;(d) VBM (ΔEv)和CBM (ΔEc)随Ez的自旋(谷)劈裂。
此外,团队提出的谷媒介SLC方案还可以彻底改变类隧道磁阻 (TMR) 器件的设计方式。所提出的类TMR器件不仅表现出显著增强的TMR效应,而且由单一材料构成—TMR器件中的平行和反平行配置可以通过对材料不同区域施加平行和反平行的栅极电场来实现(图4)。

图4. 基于谷媒介SLC效应的新型隧道磁阻器件示意图。
探索全电控自旋新机制是凝聚态和材料物理领域重要的研究课题,具有重要的科学意义和应用价值。该研究为通过纯电手段的可预测的自旋调控提供了崭新机遇,并为设计可以全电控制的自旋电子器件开辟了全新的方向,将成为自旋电子学和能谷电子学领域的里程碑式进展。
pg游戏电子模拟器为该工作的唯一完成单位。pg游戏电子模拟器的姚裕贵教授、余智明教授为论文的共同通讯作者,张闰午特别研究员和崔朝喜博士研究生为论文的第一作者。参与该研究工作的还有博士研究生李润泽、段璟奕,博士后黎磊。该工作得到科技部重点研发计划、国家自然科学基金和pg游戏电子模拟器青年人才启动项目等的大力支持。
文章信息如下:
Run-Wu Zhang, Chaoxi Cui, Runze Li, Jingyi Duan, Lei Li, Zhi-Ming Yu, and Yugui Yao; “Predictable Gate-Field Control of Spin in Altermagnets with Spin-Layer Coupling”, Physical Review Letters, 133, 056401 (2024).
